Get answers and follow-ups

This page introduces search with answer and follow-ups for Gemini Enterprise and shows you how to implement it using method calls.

Search with answer and follow-ups is based on the answer method. The answer method also has some important additional features, such as the ability to handle complex queries.

Features of the answer method

Key features of the answer method are as follows:

  • The ability to generate answers to complex queries. For example, the answer method can break down compound queries, such as the following, into multiple, smaller queries to return better results that are used to power better answers:

    • "What is Google Cloud and Google Ads respective revenue in 2024?"
    • "After how many years since its founding, did Google reach 1 billion USD revenue?"
  • The ability to combine search and answer generation in a multi-turn conversation by calling the answer method in each turn.

  • The ability to pair with the search method to reduce search latency. You can call the search method and the answer method separately and render the search results and answers in different iframes at different times. This means that you can show your users search results (the 10 blue links) within milliseconds. You don't need to wait for answers to be generated before you can show search results.

The features of answer and follow-ups can be divided into three phases of the query, search and answer:

When to use answer and when to use search

Gemini Enterprise has two methods that are used for querying apps. They have different but overlapping features.

Use the answer method when:

  • You want an AI generated answer (or summary) of the search results.

  • You want multi-turn searching, that is, searches that hold context so allow for follow-up questions.

Use the search method when:

  • You only need search results; not a generated answer.

  • You want more than ten search results ("blue links") returned.

  • You have any of the following:

    • Your own embeddings
    • Synonym or redirect controls
    • Facets
    • User country codes

Use the answer and search methods together when:

  • You want to return more than ten search results, and you want a generated answer.

  • You have latency issues and want to return and display search results quickly before the generated answer is returned.

Query phase features

The answer and follow-ups feature supports natural language query processing.

This section describes and illustrates the various options for query rephrasing and classification.

Query rephrasing

Query rephrasing is on by default. This feature chooses the best way to rephrase queries automatically to improve search results. This feature can also handle queries that don't require rephrasing.

  • Break down complex queries into multiple queries and perform synchronous sub-querying.

    For example: A complex query is broken down into four smaller, simpler queries.

    User input Sub-queries created from the complex query
    What jobs and hobbies do Andie Ram and Arnaud Clément have in common?
    • Andie Ram occupation
    • Arnaud Clément occupation
    • Andie Ram hobby
    • Arnaud Clément hobby
  • Synthesize multi-turn queries, to make follow-up questions context aware and stateful.

    For example: Queries synthesized from user input at each turn might look like this:

    User input Query synthesized
    Turn 1: laptops for school laptops for school
    Turn 2: not mac laptops for school not mac
    Turn 3: bigger screen and i also need wireless keyboard and mouse bigger screen laptops for school not mac with wireless keyboard and mouse
    Turn 4: and a backpack for it bigger screen laptops for school not mac with wireless keyboard and mouse and a backpack for it
  • Simplify long queries to improve retrieval.

    For example: A long query is shortened to a simple query.

    User input Query simplified
    I am trying to find out why the \"Add to Cart\" button on our website is not working properly. It seems that when a user clicks the button, the item is not added to the cart and they receive an error message. I have checked the code and it seems to be correct, so I am not sure what the issue could be. Can you help me troubleshoot this problem? "Add to Cart" button not working on website.
  • Perform multi-step reasoning

    Multi-step reasoning is based on the ReAct (reason + act) paradigm which enables LLMs to solve complex tasks using natural language reasoning. By default, the maximum number of steps is five.

    For example:

    User input Two steps to generate the answer
    After how many years since its founding, did Google reach 1 billion USD revenue? Step 1:
    [Thought]: I need to know when Google was founded, then I can query it is revenue since then.
    [Act] Search: When was Google founded?[Observe Search Results]: "1998"

    Step 2:
    [Thought]: Now I need to Google's yearly revenue since 1998, and find out when it exceeded 1 billion for the first time.
    [Act] Search: Google revenue since 1998
    [Observe Search Results] Google revenue in 1998, Google revenue in 1999…..
    [Answer]: Google reached more than 1 billion USD revenue in 2003 [1], 5 years after its founding in 1998[2].

Query classification

Query classification options are to identify adversarial queries and non-answer seeking queries. By default, query classification options are off.

For more information about adversarial and non-answer seeking queries, see Ignore adversarial queries and Ignore non-summary seeking queries.

Search phase features

For searching, the answer method has the same options as the search method. For example:

Answer phase features

During the answer phase, when answers are generated from the search results, you can enable the same features as in the search method. For example:

Additional answer phase features that are not available in the search method are:

  • Getting a support score for each claim (sentence in the generated answer). A support score is a floating point value in the range [0,1] that indicates how grounded the claim is in the data in data store. For more information, see Return grounding support scores.

  • Getting an aggregated support score for the answer. The support score indicates how well the answer is grounded in the data in the data store. For more information, see Return grounding support scores.

  • Return only well-grounded answers. You can choose to return only those answers that meet a certain support-score threshold. For more information, see Show only well-grounded answers.

  • Add personalization information to queries so that the answers can be customized for individual users. For more information, see Personalize answers.

To receive multimodal answers that include charts or images in addition to text, the following options are available:

  • Getting answers that include charts and graphs that plot the data contained in the answers. For more information, see Generate charts for answers.

  • Retrieving images from the data store. If the data store contains images, then the answer method can return an image in the answer. Images from the data store can also be returned in references if citations are requested. For more information, see Retrieve existing images from the data store.

Search and answer (basic)

The following command shows how to call the answer method and return a generated answer and a list of search results, with links to the sources.

This command shows the required input only. The options are left at their defaults.

REST

To search and get results with a generated answer, do the following:

  1. Run the following curl command:

    curl -X POST -H "Authorization: Bearer $(gcloud auth print-access-token)" \
      -H "Content-Type: application/json" \
      "https://discoveryengine.googleapis.com/v1/projects/PROJECT_ID/locations/global/collections/default_collection/engines/APP_ID/servingConfigs/default_search:answer" \
      -d '{
            "query": { "text": "QUERY"}
          }'
    

    Replace the following:

    • PROJECT_ID: the ID of your project.
    • APP_ID: the ID of the app that you want to query.
    • QUERY: a free-text string that contains the question or search query. For example, "Compare the BigQuery and Spanner databases?".

Python

Before trying this sample, follow the Python setup instructions in the Gemini Enterprise quickstart using client libraries. For more information, see the Gemini Enterprise Python API reference documentation.

To authenticate to Gemini Enterprise, set up Application Default Credentials. For more information, see Set up authentication for a local development environment.

from google.api_core.client_options import ClientOptions
from google.cloud import discoveryengine_v1 as discoveryengine

# TODO(developer): Uncomment these variables before running the sample.
# project_id = "YOUR_PROJECT_ID"
# location = "YOUR_LOCATION"                    # Values: "global", "us", "eu"
# engine_id = "YOUR_APP_ID"


def answer_query_sample(
    project_id: str,
    location: str,
    engine_id: str,
) -> discoveryengine.AnswerQueryResponse:
    #  For more information, refer to:
    # https://cloud.google.com/generative-ai-app-builder/docs/locations#specify_a_multi-region_for_your_data_store
    client_options = (
        ClientOptions(api_endpoint=f"{location}-discoveryengine.googleapis.com")
        if location != "global"
        else None
    )

    # Create a client
    client = discoveryengine.ConversationalSearchServiceClient(
        client_options=client_options
    )

    # The full resource name of the Search serving config
    serving_config = f"projects/{project_id}/locations/{location}/collections/default_collection/engines/{engine_id}/servingConfigs/default_serving_config"

    # Optional: Options for query phase
    # The `query_understanding_spec` below includes all available query phase options.
    # For more details, refer to https://cloud.google.com/generative-ai-app-builder/docs/reference/rest/v1/QueryUnderstandingSpec
    query_understanding_spec = discoveryengine.AnswerQueryRequest.QueryUnderstandingSpec(
        query_rephraser_spec=discoveryengine.AnswerQueryRequest.QueryUnderstandingSpec.QueryRephraserSpec(
            disable=False,  # Optional: Disable query rephraser
            max_rephrase_steps=1,  # Optional: Number of rephrase steps
        ),
        # Optional: Classify query types
        query_classification_spec=discoveryengine.AnswerQueryRequest.QueryUnderstandingSpec.QueryClassificationSpec(
            types=[
                discoveryengine.AnswerQueryRequest.QueryUnderstandingSpec.QueryClassificationSpec.Type.ADVERSARIAL_QUERY,
                discoveryengine.AnswerQueryRequest.QueryUnderstandingSpec.QueryClassificationSpec.Type.NON_ANSWER_SEEKING_QUERY,
            ]  # Options: ADVERSARIAL_QUERY, NON_ANSWER_SEEKING_QUERY or both
        ),
    )

    # Optional: Options for answer phase
    # The `answer_generation_spec` below includes all available query phase options.
    # For more details, refer to https://cloud.google.com/generative-ai-app-builder/docs/reference/rest/v1/AnswerGenerationSpec
    answer_generation_spec = discoveryengine.AnswerQueryRequest.AnswerGenerationSpec(
        ignore_adversarial_query=False,  # Optional: Ignore adversarial query
        ignore_non_answer_seeking_query=False,  # Optional: Ignore non-answer seeking query
        ignore_low_relevant_content=False,  # Optional: Return fallback answer when content is not relevant
        model_spec=discoveryengine.AnswerQueryRequest.AnswerGenerationSpec.ModelSpec(
            model_version="gemini-2.0-flash-001/answer_gen/v1",  # Optional: Model to use for answer generation
        ),
        prompt_spec=discoveryengine.AnswerQueryRequest.AnswerGenerationSpec.PromptSpec(
            preamble="Give a detailed answer.",  # Optional: Natural language instructions for customizing the answer.
        ),
        include_citations=True,  # Optional: Include citations in the response
        answer_language_code="en",  # Optional: Language code of the answer
    )

    # Initialize request argument(s)
    request = discoveryengine.AnswerQueryRequest(
        serving_config=serving_config,
        query=discoveryengine.Query(text="What is Vertex AI Search?"),
        session=None,  # Optional: include previous session ID to continue a conversation
        query_understanding_spec=query_understanding_spec,
        answer_generation_spec=answer_generation_spec,
        user_pseudo_id="user-pseudo-id",  # Optional: Add user pseudo-identifier for queries.
    )

    # Make the request
    response = client.answer_query(request)

    # Handle the response
    print(response)

    return response

Query phase commands

This section shows how to specify options for the query phase of the answer method call.

Search and answer (rephrasing disabled)

The following command shows how to call the answer method and return a generated answer and a list of search results. The answer could be different from the preceding answer because the rephrasing option is disabled.

REST

To search and get results with a generated answer without applying query rephrasing, do the following:

  1. Run the following curl command:

    curl -X POST -H "Authorization: Bearer $(gcloud auth print-access-token)" \
      -H "Content-Type: application/json" \
      "https://discoveryengine.googleapis.com/v1/projects/PROJECT_ID/locations/global/collections/default_collection/engines/APP_ID/servingConfigs/default_search:answer" \
      -d '{
            "query": { "text": "QUERY"},
            "queryUnderstandingSpec": {
               "queryRephraserSpec": {
                  "disable": true
            }
        }
          }'
    
    

    Replace the following:

    • PROJECT_ID: the ID of your project.
    • APP_ID: the ID of the app.
    • QUERY: a free-text string that contains the question or search query. For example, "Compare the BigQuery and Spanner databases?".

Python

Before trying this sample, follow the Python setup instructions in the Gemini Enterprise quickstart using client libraries. For more information, see the Gemini Enterprise Python API reference documentation.

To authenticate to Gemini Enterprise, set up Application Default Credentials. For more information, see Set up authentication for a local development environment.

from google.api_core.client_options import ClientOptions
from google.cloud import discoveryengine_v1 as discoveryengine

# TODO(developer): Uncomment these variables before running the sample.
# project_id = "YOUR_PROJECT_ID"
# location = "YOUR_LOCATION"                    # Values: "global", "us", "eu"
# engine_id = "YOUR_APP_ID"


def answer_query_sample(
    project_id: str,
    location: str,
    engine_id: str,
) -> discoveryengine.AnswerQueryResponse:
    #  For more information, refer to:
    # https://cloud.google.com/generative-ai-app-builder/docs/locations#specify_a_multi-region_for_your_data_store
    client_options = (
        ClientOptions(api_endpoint=f"{location}-discoveryengine.googleapis.com")
        if location != "global"
        else None
    )

    # Create a client
    client = discoveryengine.ConversationalSearchServiceClient(
        client_options=client_options
    )

    # The full resource name of the Search serving config
    serving_config = f"projects/{project_id}/locations/{location}/collections/default_collection/engines/{engine_id}/servingConfigs/default_serving_config"

    # Optional: Options for query phase
    # The `query_understanding_spec` below includes all available query phase options.
    # For more details, refer to https://cloud.google.com/generative-ai-app-builder/docs/reference/rest/v1/QueryUnderstandingSpec
    query_understanding_spec = discoveryengine.AnswerQueryRequest.QueryUnderstandingSpec(
        query_rephraser_spec=discoveryengine.AnswerQueryRequest.QueryUnderstandingSpec.QueryRephraserSpec(
            disable=False,  # Optional: Disable query rephraser
            max_rephrase_steps=1,  # Optional: Number of rephrase steps
        ),
        # Optional: Classify query types
        query_classification_spec=discoveryengine.AnswerQueryRequest.QueryUnderstandingSpec.QueryClassificationSpec(
            types=[
                discoveryengine.AnswerQueryRequest.QueryUnderstandingSpec.QueryClassificationSpec.Type.ADVERSARIAL_QUERY,
                discoveryengine.AnswerQueryRequest.QueryUnderstandingSpec.QueryClassificationSpec.Type.NON_ANSWER_SEEKING_QUERY,
            ]  # Options: ADVERSARIAL_QUERY, NON_ANSWER_SEEKING_QUERY or both
        ),
    )

    # Optional: Options for answer phase
    # The `answer_generation_spec` below includes all available query phase options.
    # For more details, refer to https://cloud.google.com/generative-ai-app-builder/docs/reference/rest/v1/AnswerGenerationSpec
    answer_generation_spec = discoveryengine.AnswerQueryRequest.AnswerGenerationSpec(
        ignore_adversarial_query=False,  # Optional: Ignore adversarial query
        ignore_non_answer_seeking_query=False,  # Optional: Ignore non-answer seeking query
        ignore_low_relevant_content=False,  # Optional: Return fallback answer when content is not relevant
        model_spec=discoveryengine.AnswerQueryRequest.AnswerGenerationSpec.ModelSpec(
            model_version="gemini-2.0-flash-001/answer_gen/v1",  # Optional: Model to use for answer generation
        ),
        prompt_spec=discoveryengine.AnswerQueryRequest.AnswerGenerationSpec.PromptSpec(
            preamble="Give a detailed answer.",  # Optional: Natural language instructions for customizing the answer.
        ),
        include_citations=True,  # Optional: Include citations in the response
        answer_language_code="en",  # Optional: Language code of the answer
    )

    # Initialize request argument(s)
    request = discoveryengine.AnswerQueryRequest(
        serving_config=serving_config,
        query=discoveryengine.Query(text="What is Vertex AI Search?"),
        session=None,  # Optional: include previous session ID to continue a conversation
        query_understanding_spec=query_understanding_spec,
        answer_generation_spec=answer_generation_spec,
        user_pseudo_id="user-pseudo-id",  # Optional: Add user pseudo-identifier for queries.
    )

    # Make the request
    response = client.answer_query(request)

    # Handle the response
    print(response)

    return response

Search and answer (specify maximum steps)

The following command shows how to call the answer method and return a generated answer and a list of search results. The answer is different from the preceding answers because the number of rephrasing steps has been increased.

REST

To search and get results with a generated answer allowing up to five rephrasing steps, do the following:

  1. Run the following curl command:

    curl -X POST -H "Authorization: Bearer $(gcloud auth print-access-token)" \
      -H "Content-Type: application/json" \
      "https://discoveryengine.googleapis.com/v1/projects/PROJECT_ID/locations/global/collections/default_collection/engines/APP_ID/servingConfigs/default_search:answer" \
      -d '{
            "query": { "text": "QUERY"},
            "queryUnderstandingSpec": {
                "queryRephraserSpec": {
                    "maxRephraseSteps": MAX_REPHRASE
                 }
             }
          }'
    

    Replace the following:

    • PROJECT_ID: the ID of your project.
    • APP_ID: the ID of the app that you want to query.
    • QUERY: a free-text string that contains the question or search query. For example, "Compare the BigQuery and Spanner databases?".
    • MAX_REPHRASE: the maximum number of rephrase steps. The largest value allowed is 5. If not set or if set to less than 1 the value is the default, 1.

Python

Before trying this sample, follow the Python setup instructions in the Gemini Enterprise quickstart using client libraries. For more information, see the Gemini Enterprise Python API reference documentation.

To authenticate to Gemini Enterprise, set up Application Default Credentials. For more information, see Set up authentication for a local development environment.

from google.api_core.client_options import ClientOptions
from google.cloud import discoveryengine_v1 as discoveryengine

# TODO(developer): Uncomment these variables before running the sample.
# project_id = "YOUR_PROJECT_ID"
# location = "YOUR_LOCATION"                    # Values: "global", "us", "eu"
# engine_id = "YOUR_APP_ID"


def answer_query_sample(
    project_id: str,
    location: str,
    engine_id: str,
) -> discoveryengine.AnswerQueryResponse:
    #  For more information, refer to:
    # https://cloud.google.com/generative-ai-app-builder/docs/locations#specify_a_multi-region_for_your_data_store
    client_options = (
        ClientOptions(api_endpoint=f"{location}-discoveryengine.googleapis.com")
        if location != "global"
        else None
    )

    # Create a client
    client = discoveryengine.ConversationalSearchServiceClient(
        client_options=client_options
    )

    # The full resource name of the Search serving config
    serving_config = f"projects/{project_id}/locations/{location}/collections/default_collection/engines/{engine_id}/servingConfigs/default_serving_config"

    # Optional: Options for query phase
    # The `query_understanding_spec` below includes all available query phase options.
    # For more details, refer to https://cloud.google.com/generative-ai-app-builder/docs/reference/rest/v1/QueryUnderstandingSpec
    query_understanding_spec = discoveryengine.AnswerQueryRequest.QueryUnderstandingSpec(
        query_rephraser_spec=discoveryengine.AnswerQueryRequest.QueryUnderstandingSpec.QueryRephraserSpec(
            disable=False,  # Optional: Disable query rephraser
            max_rephrase_steps=1,  # Optional: Number of rephrase steps
        ),
        # Optional: Classify query types
        query_classification_spec=discoveryengine.AnswerQueryRequest.QueryUnderstandingSpec.QueryClassificationSpec(
            types=[
                discoveryengine.AnswerQueryRequest.QueryUnderstandingSpec.QueryClassificationSpec.Type.ADVERSARIAL_QUERY,
                discoveryengine.AnswerQueryRequest.QueryUnderstandingSpec.QueryClassificationSpec.Type.NON_ANSWER_SEEKING_QUERY,
            ]  # Options: ADVERSARIAL_QUERY, NON_ANSWER_SEEKING_QUERY or both
        ),
    )

    # Optional: Options for answer phase
    # The `answer_generation_spec` below includes all available query phase options.
    # For more details, refer to https://cloud.google.com/generative-ai-app-builder/docs/reference/rest/v1/AnswerGenerationSpec
    answer_generation_spec = discoveryengine.AnswerQueryRequest.AnswerGenerationSpec(
        ignore_adversarial_query=False,  # Optional: Ignore adversarial query
        ignore_non_answer_seeking_query=False,  # Optional: Ignore non-answer seeking query
        ignore_low_relevant_content=False,  # Optional: Return fallback answer when content is not relevant
        model_spec=discoveryengine.AnswerQueryRequest.AnswerGenerationSpec.ModelSpec(
            model_version="gemini-2.0-flash-001/answer_gen/v1",  # Optional: Model to use for answer generation
        ),
        prompt_spec=discoveryengine.AnswerQueryRequest.AnswerGenerationSpec.PromptSpec(
            preamble="Give a detailed answer.",  # Optional: Natural language instructions for customizing the answer.
        ),
        include_citations=True,  # Optional: Include citations in the response
        answer_language_code="en",  # Optional: Language code of the answer
    )

    # Initialize request argument(s)
    request = discoveryengine.AnswerQueryRequest(
        serving_config=serving_config,
        query=discoveryengine.Query(text="What is Vertex AI Search?"),
        session=None,  # Optional: include previous session ID to continue a conversation
        query_understanding_spec=query_understanding_spec,
        answer_generation_spec=answer_generation_spec,
        user_pseudo_id="user-pseudo-id",  # Optional: Add user pseudo-identifier for queries.
    )

    # Make the request
    response = client.answer_query(request)

    # Handle the response
    print(response)

    return response

Search and answer with query classification

The following command shows how to call the answer method to inquire whether a query is adversarial, non-answer seeking, or neither.

The response includes the classification type for the query, but the answer itself is not affected by the classification. If you want to change the answer behavior according to the query type, you can do this in the answer phase. See Ignore adversarial queries and Ignore non-summary seeking queries.

REST

To determine if a query is adversarial or non-answer seeking, do the following:

  1. Run the following curl command:

    curl -X POST -H "Authorization: Bearer $(gcloud auth print-access-token)" \
      -H "Content-Type: application/json" \
      "https://discoveryengine.googleapis.com/v1/projects/PROJECT_ID/locations/global/collections/default_collection/engines/APP_ID/servingConfigs/default_search:answer" \
      -d '{
            "query": { "text": "QUERY"},
            "queryUnderstandingSpec": {
                "queryClassificationSpec": {
                    "types": ["QUERY_CLASSIFICATION_TYPE"]
                 }
             }
          }'
    

    Replace the following:

    • PROJECT_ID: the ID of your project.
    • APP_ID: the ID of the app that you want to query.
    • QUERY: a free-text string that contains the question or search query. For example, "hello".
    • QUERY_CLASSIFICATION_TYPE: the query types that you want to identify: ADVERSARIAL_QUERY, NON_ANSWER_SEEKING_QUERY, or both.

Python

Before trying this sample, follow the Python setup instructions in the Gemini Enterprise quickstart using client libraries. For more information, see the Gemini Enterprise Python API reference documentation.

To authenticate to Gemini Enterprise, set up Application Default Credentials. For more information, see Set up authentication for a local development environment.

from google.api_core.client_options import ClientOptions
from google.cloud import discoveryengine_v1 as discoveryengine

# TODO(developer): Uncomment these variables before running the sample.
# project_id = "YOUR_PROJECT_ID"
# location = "YOUR_LOCATION"                    # Values: "global", "us", "eu"
# engine_id = "YOUR_APP_ID"


def answer_query_sample(
    project_id: str,
    location: str,
    engine_id: str,
) -> discoveryengine.AnswerQueryResponse:
    #  For more information, refer to:
    # https://cloud.google.com/generative-ai-app-builder/docs/locations#specify_a_multi-region_for_your_data_store
    client_options = (
        ClientOptions(api_endpoint=f"{location}-discoveryengine.googleapis.com")
        if location != "global"
        else None
    )

    # Create a client
    client = discoveryengine.ConversationalSearchServiceClient(
        client_options=client_options
    )

    # The full resource name of the Search serving config
    serving_config = f"projects/{project_id}/locations/{location}/collections/default_collection/engines/{engine_id}/servingConfigs/default_serving_config"

    # Optional: Options for query phase
    # The `query_understanding_spec` below includes all available query phase options.
    # For more details, refer to https://cloud.google.com/generative-ai-app-builder/docs/reference/rest/v1/QueryUnderstandingSpec
    query_understanding_spec = discoveryengine.AnswerQueryRequest.QueryUnderstandingSpec(
        query_rephraser_spec=discoveryengine.AnswerQueryRequest.QueryUnderstandingSpec.QueryRephraserSpec(
            disable=False,  # Optional: Disable query rephraser
            max_rephrase_steps=1,  # Optional: Number of rephrase steps
        ),
        # Optional: Classify query types
        query_classification_spec=discoveryengine.AnswerQueryRequest.QueryUnderstandingSpec.QueryClassificationSpec(
            types=[
                discoveryengine.AnswerQueryRequest.QueryUnderstandingSpec.QueryClassificationSpec.Type.ADVERSARIAL_QUERY,
                discoveryengine.AnswerQueryRequest.QueryUnderstandingSpec.QueryClassificationSpec.Type.NON_ANSWER_SEEKING_QUERY,
            ]  # Options: ADVERSARIAL_QUERY, NON_ANSWER_SEEKING_QUERY or both
        ),
    )

    # Optional: Options for answer phase
    # The `answer_generation_spec` below includes all available query phase options.
    # For more details, refer to https://cloud.google.com/generative-ai-app-builder/docs/reference/rest/v1/AnswerGenerationSpec
    answer_generation_spec = discoveryengine.AnswerQueryRequest.AnswerGenerationSpec(
        ignore_adversarial_query=False,  # Optional: Ignore adversarial query
        ignore_non_answer_seeking_query=False,  # Optional: Ignore non-answer seeking query
        ignore_low_relevant_content=False,  # Optional: Return fallback answer when content is not relevant
        model_spec=discoveryengine.AnswerQueryRequest.AnswerGenerationSpec.ModelSpec(
            model_version="gemini-2.0-flash-001/answer_gen/v1",  # Optional: Model to use for answer generation
        ),
        prompt_spec=discoveryengine.AnswerQueryRequest.AnswerGenerationSpec.PromptSpec(
            preamble="Give a detailed answer.",  # Optional: Natural language instructions for customizing the answer.
        ),
        include_citations=True,  # Optional: Include citations in the response
        answer_language_code="en",  # Optional: Language code of the answer
    )

    # Initialize request argument(s)
    request = discoveryengine.AnswerQueryRequest(
        serving_config=serving_config,
        query=discoveryengine.Query(text="What is Vertex AI Search?"),
        session=None,  # Optional: include previous session ID to continue a conversation
        query_understanding_spec=query_understanding_spec,
        answer_generation_spec=answer_generation_spec,
        user_pseudo_id="user-pseudo-id",  # Optional: Add user pseudo-identifier for queries.
    )

    # Make the request
    response = client.answer_query(request)

    # Handle the response
    print(response)

    return response

Search phase commands: Search and answer with search result options

This section shows how to specify options for the search phase portion of the answer method call, options such as setting the maximum number of documents returned, boosting, and filtering, and how to get an answer when you supply your own search results.

The following command shows how to call the answer method and specify various options for how the search result is returned. (The search results are independent of the answer.)

REST

To set various options related to which and how search results are returned, do the following:

  1. Run the following curl command:

    curl -X POST -H "Authorization: Bearer $(gcloud auth print-access-token)" \
      -H "Content-Type: application/json" \
      "https://discoveryengine.googleapis.com/v1/projects/PROJECT_ID/locations/global/collections/default_collection/engines/APP_ID/servingConfigs/default_search:answer" \
      -d '{
            "query": { "text": "QUERY"},
              "searchSpec": {
              "searchParams": {
                "maxReturnResults": MAX_RETURN_RESULTS,
                "filter": "FILTER",
                "boostSpec": BOOST_SPEC,
                "orderBy": "ORDER_BY",
                "searchResultMode": SEARCH_RESULT_MODE
               }
             }
          }'
    

    Replace the following:

    • PROJECT_ID: the ID of your project.
    • APP_ID: the ID of the app that you want to query.
    • QUERY: a free-text string that contains the question or search query. For example, "Compare the BigQuery and Spanner databases?"
    • MAX_RETURN_RESULTS: the number of search results to return. The default value is 10.
    • FILTER: the filter specifies which documents are queried. If a document's metadata meets the filter specification, then the document will be queried. For more information, including filter syntax, see Filter custom search for structured or unstructured data.
    • BOOST_SPEC: the boost specification lets you boost certain documents in search results, which can affect the answer. For more information, including the syntax for the boost specification, see Boost search results.
    • ORDER_BY: the order in which documents are returned. Documents can be ordered by a field in a Document object. The orderBy expression is case-sensitive. If this field is unrecognizable, an INVALID_ARGUMENT is returned.
    • SEARCH_RESULT_MODE: it specifies the search result mode: DOCUMENTS or CHUNKS. For more information, see Parse and chunk documents and ContentSearchSpec. This field is only available in the v1alpha version of the API.

Python

Before trying this sample, follow the Python setup instructions in the Gemini Enterprise quickstart using client libraries. For more information, see the Gemini Enterprise Python API reference documentation.

To authenticate to Gemini Enterprise, set up Application Default Credentials. For more information, see Set up authentication for a local development environment.

from google.api_core.client_options import ClientOptions
from google.cloud import discoveryengine_v1 as discoveryengine

# TODO(developer): Uncomment these variables before running the sample.
# project_id = "YOUR_PROJECT_ID"
# location = "YOUR_LOCATION"                    # Values: "global", "us", "eu"
# engine_id = "YOUR_APP_ID"


def answer_query_sample(
    project_id: str,
    location: str,
    engine_id: str,
) -> discoveryengine.AnswerQueryResponse:
    #  For more information, refer to:
    # https://cloud.google.com/generative-ai-app-builder/docs/locations#specify_a_multi-region_for_your_data_store
    client_options = (
        ClientOptions(api_endpoint=f"{location}-discoveryengine.googleapis.com")
        if location != "global"
        else None
    )

    # Create a client
    client = discoveryengine.ConversationalSearchServiceClient(
        client_options=client_options
    )

    # The full resource name of the Search serving config
    serving_config = f"projects/{project_id}/locations/{location}/collections/default_collection/engines/{engine_id}/servingConfigs/default_serving_config"

    # Optional: Options for query phase
    # The `query_understanding_spec` below includes all available query phase options.
    # For more details, refer to https://cloud.google.com/generative-ai-app-builder/docs/reference/rest/v1/QueryUnderstandingSpec
    query_understanding_spec = discoveryengine.AnswerQueryRequest.QueryUnderstandingSpec(
        query_rephraser_spec=discoveryengine.AnswerQueryRequest.QueryUnderstandingSpec.QueryRephraserSpec(
            disable=False,  # Optional: Disable query rephraser
            max_rephrase_steps=1,  # Optional: Number of rephrase steps
        ),
        # Optional: Classify query types
        query_classification_spec=discoveryengine.AnswerQueryRequest.QueryUnderstandingSpec.QueryClassificationSpec(
            types=[
                discoveryengine.AnswerQueryRequest.QueryUnderstandingSpec.QueryClassificationSpec.Type.ADVERSARIAL_QUERY,
                discoveryengine.AnswerQueryRequest.QueryUnderstandingSpec.QueryClassificationSpec.Type.NON_ANSWER_SEEKING_QUERY,
            ]  # Options: ADVERSARIAL_QUERY, NON_ANSWER_SEEKING_QUERY or both
        ),
    )

    # Optional: Options for answer phase
    # The `answer_generation_spec` below includes all available query phase options.
    # For more details, refer to https://cloud.google.com/generative-ai-app-builder/docs/reference/rest/v1/AnswerGenerationSpec
    answer_generation_spec = discoveryengine.AnswerQueryRequest.AnswerGenerationSpec(
        ignore_adversarial_query=False,  # Optional: Ignore adversarial query
        ignore_non_answer_seeking_query=False,  # Optional: Ignore non-answer seeking query
        ignore_low_relevant_content=False,  # Optional: Return fallback answer when content is not relevant
        model_spec=discoveryengine.AnswerQueryRequest.AnswerGenerationSpec.ModelSpec(
            model_version="gemini-2.0-flash-001/answer_gen/v1",  # Optional: Model to use for answer generation
        ),
        prompt_spec=discoveryengine.AnswerQueryRequest.AnswerGenerationSpec.PromptSpec(
            preamble="Give a detailed answer.",  # Optional: Natural language instructions for customizing the answer.
        ),
        include_citations=True,  # Optional: Include citations in the response
        answer_language_code="en",  # Optional: Language code of the answer
    )

    # Initialize request argument(s)
    request = discoveryengine.AnswerQueryRequest(
        serving_config=serving_config,
        query=discoveryengine.Query(text="What is Vertex AI Search?"),
        session=None,  # Optional: include previous session ID to continue a conversation
        query_understanding_spec=query_understanding_spec,
        answer_generation_spec=answer_generation_spec,
        user_pseudo_id="user-pseudo-id",  # Optional: Add user pseudo-identifier for queries.
    )

    # Make the request
    response = client.answer_query(request)

    # Handle the response
    print(response)

    return response

Answer phase commands

This section shows how to customize the answer method call. You can combine the following options as needed.

Ignore adversarial queries and non-answer-seeking queries

The following command shows how to avoid answering adversarial queries and non-answer-seeking queries when calling the answer method.

REST

To skip answering queries that are adversarial or non-answer-seeking, do the following:

  1. Run the following curl command:

    curl -X POST -H "Authorization: Bearer $(gcloud auth print-access-token)" \
      -H "Content-Type: application/json" \
      "https://discoveryengine.googleapis.com/v1/projects/PROJECT_ID/locations/global/collections/default_collection/engines/APP_ID/servingConfigs/default_search:answer" \
      -d '{
            "query": { "text": "QUERY"},
            "answerGenerationSpec": {
               "ignoreAdversarialQuery": true,
               "ignoreNonAnswerSeekingQuery": true
            }
          }'
    

    Replace the following:

    • PROJECT_ID: the ID of your project.
    • APP_ID: the ID of the app that you want to query.
    • QUERY: a free-text string that contains the question or search query.

Python

Before trying this sample, follow the Python setup instructions in the Gemini Enterprise quickstart using client libraries. For more information, see the Gemini Enterprise Python API reference documentation.

To authenticate to Gemini Enterprise, set up Application Default Credentials. For more information, see Set up authentication for a local development environment.

from google.api_core.client_options import ClientOptions
from google.cloud import discoveryengine_v1 as discoveryengine

# TODO(developer): Uncomment these variables before running the sample.
# project_id = "YOUR_PROJECT_ID"
# location = "YOUR_LOCATION"                    # Values: "global", "us", "eu"
# engine_id = "YOUR_APP_ID"


def answer_query_sample(
    project_id: str,
    location: str,
    engine_id: str,
) -> discoveryengine.AnswerQueryResponse:
    #  For more information, refer to:
    # https://cloud.google.com/generative-ai-app-builder/docs/locations#specify_a_multi-region_for_your_data_store
    client_options = (
        ClientOptions(api_endpoint=f"{location}-discoveryengine.googleapis.com")
        if location != "global"
        else None
    )

    # Create a client
    client = discoveryengine.ConversationalSearchServiceClient(
        client_options=client_options
    )

    # The full resource name of the Search serving config
    serving_config = f"projects/{project_id}/locations/{location}/collections/default_collection/engines/{engine_id}/servingConfigs/default_serving_config"

    # Optional: Options for query phase
    # The `query_understanding_spec` below includes all available query phase options.
    # For more details, refer to https://cloud.google.com/generative-ai-app-builder/docs/reference/rest/v1/QueryUnderstandingSpec
    query_understanding_spec = discoveryengine.AnswerQueryRequest.QueryUnderstandingSpec(
        query_rephraser_spec=discoveryengine.AnswerQueryRequest.QueryUnderstandingSpec.QueryRephraserSpec(
            disable=False,  # Optional: Disable query rephraser
            max_rephrase_steps=1,  # Optional: Number of rephrase steps
        ),
        # Optional: Classify query types
        query_classification_spec=discoveryengine.AnswerQueryRequest.QueryUnderstandingSpec.QueryClassificationSpec(
            types=[
                discoveryengine.AnswerQueryRequest.QueryUnderstandingSpec.QueryClassificationSpec.Type.ADVERSARIAL_QUERY,
                discoveryengine.AnswerQueryRequest.QueryUnderstandingSpec.QueryClassificationSpec.Type.NON_ANSWER_SEEKING_QUERY,
            ]  # Options: ADVERSARIAL_QUERY, NON_ANSWER_SEEKING_QUERY or both
        ),
    )

    # Optional: Options for answer phase
    # The `answer_generation_spec` below includes all available query phase options.
    # For more details, refer to https://cloud.google.com/generative-ai-app-builder/docs/reference/rest/v1/AnswerGenerationSpec
    answer_generation_spec = discoveryengine.AnswerQueryRequest.AnswerGenerationSpec(
        ignore_adversarial_query=False,  # Optional: Ignore adversarial query
        ignore_non_answer_seeking_query=False,  # Optional: Ignore non-answer seeking query
        ignore_low_relevant_content=False,  # Optional: Return fallback answer when content is not relevant
        model_spec=discoveryengine.AnswerQueryRequest.AnswerGenerationSpec.ModelSpec(
            model_version="gemini-2.0-flash-001/answer_gen/v1",  # Optional: Model to use for answer generation
        ),
        prompt_spec=discoveryengine.AnswerQueryRequest.AnswerGenerationSpec.PromptSpec(
            preamble="Give a detailed answer.",  # Optional: Natural language instructions for customizing the answer.
        ),
        include_citations=True,  # Optional: Include citations in the response
        answer_language_code="en",  # Optional: Language code of the answer
    )

    # Initialize request argument(s)
    request = discoveryengine.AnswerQueryRequest(
        serving_config=serving_config,
        query=discoveryengine.Query(text="What is Vertex AI Search?"),
        session=None,  # Optional: include previous session ID to continue a conversation
        query_understanding_spec=query_understanding_spec,
        answer_generation_spec=answer_generation_spec,
        user_pseudo_id="user-pseudo-id",  # Optional: Add user pseudo-identifier for queries.
    )

    # Make the request
    response = client.answer_query(request)

    # Handle the response
    print(response)

    return response

Show only relevant answers

Gemini Enterprise can assess how relevant the results are to a query. If no results are determined to be sufficiently relevant, then instead of generating an answer from non-relevant or minimally-relevant results, you can choose to return a fallback answer: "We do not have a summary for your query."

The following command shows how to return the fallback answer in the case of irrelevant results when calling the answer method.

REST

To return a fallback answer if no relevant results are found, do the following:

  1. Run the following curl command:

    curl -X POST -H "Authorization: Bearer $(gcloud auth print-access-token)" \
      -H "Content-Type: application/json" \
      "https://discoveryengine.googleapis.com/v1/projects/PROJECT_ID/locations/global/collections/default_collection/engines/APP_ID/servingConfigs/default_search:answer" \
      -d '{
            "query": { "text": "QUERY"},
            "answerGenerationSpec": {
               "ignoreLowRelevantContent": true
            }
          }'
    

    Replace the following:

    • PROJECT_ID: the ID of your project.
    • APP_ID: the ID of the app that you want to query.
    • QUERY: a free-text string that contains the question or search query.

Python

Before trying this sample, follow the Python setup instructions in the Gemini Enterprise quickstart using client libraries. For more information, see the Gemini Enterprise Python API reference documentation.

To authenticate to Gemini Enterprise, set up Application Default Credentials. For more information, see Set up authentication for a local development environment.

from google.api_core.client_options import ClientOptions
from google.cloud import discoveryengine_v1 as discoveryengine

# TODO(developer): Uncomment these variables before running the sample.
# project_id = "YOUR_PROJECT_ID"
# location = "YOUR_LOCATION"                    # Values: "global", "us", "eu"
# engine_id = "YOUR_APP_ID"


def answer_query_sample(
    project_id: str,
    location: str,
    engine_id: str,
) -> discoveryengine.AnswerQueryResponse:
    #  For more information, refer to:
    # https://cloud.google.com/generative-ai-app-builder/docs/locations#specify_a_multi-region_for_your_data_store
    client_options = (
        ClientOptions(api_endpoint=f"{location}-discoveryengine.googleapis.com")
        if location != "global"
        else None
    )

    # Create a client
    client = discoveryengine.ConversationalSearchServiceClient(
        client_options=client_options
    )

    # The full resource name of the Search serving config
    serving_config = f"projects/{project_id}/locations/{location}/collections/default_collection/engines/{engine_id}/servingConfigs/default_serving_config"

    # Optional: Options for query phase
    # The `query_understanding_spec` below includes all available query phase options.
    # For more details, refer to https://cloud.google.com/generative-ai-app-builder/docs/reference/rest/v1/QueryUnderstandingSpec
    query_understanding_spec = discoveryengine.AnswerQueryRequest.QueryUnderstandingSpec(
        query_rephraser_spec=discoveryengine.AnswerQueryRequest.QueryUnderstandingSpec.QueryRephraserSpec(
            disable=False,  # Optional: Disable query rephraser
            max_rephrase_steps=1,  # Optional: Number of rephrase steps
        ),
        # Optional: Classify query types
        query_classification_spec=discoveryengine.AnswerQueryRequest.QueryUnderstandingSpec.QueryClassificationSpec(
            types=[
                discoveryengine.AnswerQueryRequest.QueryUnderstandingSpec.QueryClassificationSpec.Type.ADVERSARIAL_QUERY,
                discoveryengine.AnswerQueryRequest.QueryUnderstandingSpec.QueryClassificationSpec.Type.NON_ANSWER_SEEKING_QUERY,
            ]  # Options: ADVERSARIAL_QUERY, NON_ANSWER_SEEKING_QUERY or both
        ),
    )

    # Optional: Options for answer phase
    # The `answer_generation_spec` below includes all available query phase options.
    # For more details, refer to https://cloud.google.com/generative-ai-app-builder/docs/reference/rest/v1/AnswerGenerationSpec
    answer_generation_spec = discoveryengine.AnswerQueryRequest.AnswerGenerationSpec(
        ignore_adversarial_query=False,  # Optional: Ignore adversarial query
        ignore_non_answer_seeking_query=False,  # Optional: Ignore non-answer seeking query
        ignore_low_relevant_content=False,  # Optional: Return fallback answer when content is not relevant
        model_spec=discoveryengine.AnswerQueryRequest.AnswerGenerationSpec.ModelSpec(
            model_version="gemini-2.0-flash-001/answer_gen/v1",  # Optional: Model to use for answer generation
        ),
        prompt_spec=discoveryengine.AnswerQueryRequest.AnswerGenerationSpec.PromptSpec(
            preamble="Give a detailed answer.",  # Optional: Natural language instructions for customizing the answer.
        ),
        include_citations=True,  # Optional: Include citations in the response
        answer_language_code="en",  # Optional: Language code of the answer
    )

    # Initialize request argument(s)
    request = discoveryengine.AnswerQueryRequest(
        serving_config=serving_config,
        query=discoveryengine.Query(text="What is Vertex AI Search?"),
        session=None,  # Optional: include previous session ID to continue a conversation
        query_understanding_spec=query_understanding_spec,
        answer_generation_spec=answer_generation_spec,
        user_pseudo_id="user-pseudo-id",  # Optional: Add user pseudo-identifier for queries.
    )

    # Make the request
    response = client.answer_query(request)

    # Handle the response
    print(response)

    return response

Return grounding support scores

The following command shows how to return grounding support scores for answers and claims.

REST

To return a support score for each claim (sentence in the answer) and an aggregated support score for the answer, do the following:

  1. Run the following curl command:

    curl -X POST -H "Authorization: Bearer $(gcloud auth print-access-token)" \
      -H "Content-Type: application/json" \
      "https://discoveryengine.googleapis.com/v1/projects/PROJECT_ID/locations/global/collections/default_collection/engines/APP_ID/servingConfigs/default_search:answer" \
      -d '{
            "query": { "text": "QUERY"},
            "groundingSpec": {
               "includeGroundingSupports": true,
            }
          }'
    

    Replace the following:

    • PROJECT_ID: the ID of your project.
    • APP_ID: the ID of the app that you want to query.
    • QUERY: a free-text string that contains the question or search query.

Show only well-grounded answers

The following command shows how to return only those answers that are deemed to be well grounded in the corpus, the information in the data store. Poorly-grounded answers are filtered out.

You choose a low or high level threshold for the grounding support score. Then, the answer is only returned if it meets or exceeds that level. You can experiment with the two filter thresholds and with no threshold to determine what level of filter is likely to provide the best results for your users.

REST

To return an answer only if it meets a support-score threshold, do the following:

  1. Run the following curl command:

    curl -X POST -H "Authorization: Bearer $(gcloud auth print-access-token)" \
      -H "Content-Type: application/json" \
      "https://discoveryengine.googleapis.com/v1/projects/PROJECT_ID/locations/global/collections/default_collection/engines/APP_ID/servingConfigs/default_search:answer" \
      -d '{
            "query": { "text": "QUERY"},
            "groundingSpec": {
               "filteringLevel": "FILTER_LEVEL"
            }
          }'
    

    Replace the following:

    • PROJECT_ID: the ID of your project.
    • APP_ID: the ID of the app that you want to query.
    • QUERY: a free-text string that contains the question or search query.
    • FILTER_LEVEL: an enumeration for filtering answers based on grounding support score. Options are: FILTERING_LEVEL_LOW and FILTERING_LEVEL_HIGH. If filteringLevel is not included, then no support-score filter is applied to the answer.

Specify the answer model

The following command shows how to change the model version used to generate answers.

For information about the supported models, see Answer generation model versions and lifecycle.

REST

To generate an answer using a model different from the default model, do the following:

  1. Run the following curl command:

    curl -X POST -H "Authorization: Bearer $(gcloud auth print-access-token)" \
      -H "Content-Type: application/json" \
      "https://discoveryengine.googleapis.com/v1/projects/PROJECT_ID/locations/global/collections/default_collection/engines/APP_ID/servingConfigs/default_search:answer" \
      -d '{
            "query": { "text": "QUERY"},
            "answerGenerationSpec": {
               "modelSpec": {
                  "modelVersion": "MODEL_VERSION",
               }
             }
          }'
    

    Replace the following:

    • PROJECT_ID: the ID of your project.
    • APP_ID: the ID of the app that you want to query.
    • QUERY: a free-text string that contains the question or search query.
    • MODEL_VERSION: the model version that you want to use to generate the answer. For more information, see Answer generation model versions and lifecycle.

Python

Before trying this sample, follow the Python setup instructions in the Gemini Enterprise quickstart using client libraries. For more information, see the Gemini Enterprise Python API reference documentation.

To authenticate to Gemini Enterprise, set up Application Default Credentials. For more information, see Set up authentication for a local development environment.

from google.api_core.client_options import ClientOptions
from google.cloud import discoveryengine_v1 as discoveryengine

# TODO(developer): Uncomment these variables before running the sample.
# project_id = "YOUR_PROJECT_ID"
# location = "YOUR_LOCATION"                    # Values: "global", "us", "eu"
# engine_id = "YOUR_APP_ID"


def answer_query_sample(
    project_id: str,
    location: str,
    engine_id: str,
) -> discoveryengine.AnswerQueryResponse:
    #  For more information, refer to:
    # https://cloud.google.com/generative-ai-app-builder/docs/locations#specify_a_multi-region_for_your_data_store
    client_options = (
        ClientOptions(api_endpoint=f"{location}-discoveryengine.googleapis.com")
        if location != "global"
        else None
    )

    # Create a client
    client = discoveryengine.ConversationalSearchServiceClient(
        client_options=client_options
    )

    # The full resource name of the Search serving config
    serving_config = f"projects/{project_id}/locations/{location}/collections/default_collection/engines/{engine_id}/servingConfigs/default_serving_config"

    # Optional: Options for query phase
    # The `query_understanding_spec` below includes all available query phase options.
    # For more details, refer to https://cloud.google.com/generative-ai-app-builder/docs/reference/rest/v1/QueryUnderstandingSpec
    query_understanding_spec = discoveryengine.AnswerQueryRequest.QueryUnderstandingSpec(
        query_rephraser_spec=discoveryengine.AnswerQueryRequest.QueryUnderstandingSpec.QueryRephraserSpec(
            disable=False,  # Optional: Disable query rephraser
            max_rephrase_steps=1,  # Optional: Number of rephrase steps
        ),
        # Optional: Classify query types
        query_classification_spec=discoveryengine.AnswerQueryRequest.QueryUnderstandingSpec.QueryClassificationSpec(
            types=[
                discoveryengine.AnswerQueryRequest.QueryUnderstandingSpec.QueryClassificationSpec.Type.ADVERSARIAL_QUERY,
                discoveryengine.AnswerQueryRequest.QueryUnderstandingSpec.QueryClassificationSpec.Type.NON_ANSWER_SEEKING_QUERY,
            ]  # Options: ADVERSARIAL_QUERY, NON_ANSWER_SEEKING_QUERY or both
        ),
    )

    # Optional: Options for answer phase
    # The `answer_generation_spec` below includes all available query phase options.
    # For more details, refer to https://cloud.google.com/generative-ai-app-builder/docs/reference/rest/v1/AnswerGenerationSpec
    answer_generation_spec = discoveryengine.AnswerQueryRequest.AnswerGenerationSpec(
        ignore_adversarial_query=False,  # Optional: Ignore adversarial query
        ignore_non_answer_seeking_query=False,  # Optional: Ignore non-answer seeking query
        ignore_low_relevant_content=False,  # Optional: Return fallback answer when content is not relevant
        model_spec=discoveryengine.AnswerQueryRequest.AnswerGenerationSpec.ModelSpec(
            model_version="gemini-2.0-flash-001/answer_gen/v1",  # Optional: Model to use for answer generation
        ),
        prompt_spec=discoveryengine.AnswerQueryRequest.AnswerGenerationSpec.PromptSpec(
            preamble="Give a detailed answer.",  # Optional: Natural language instructions for customizing the answer.
        ),
        include_citations=True,  # Optional: Include citations in the response
        answer_language_code="en",  # Optional: Language code of the answer
    )

    # Initialize request argument(s)
    request = discoveryengine.AnswerQueryRequest(
        serving_config=serving_config,
        query=discoveryengine.Query(text="What is Vertex AI Search?"),
        session=None,  # Optional: include previous session ID to continue a conversation
        query_understanding_spec=query_understanding_spec,
        answer_generation_spec=answer_generation_spec,
        user_pseudo_id="user-pseudo-id",  # Optional: Add user pseudo-identifier for queries.
    )

    # Make the request
    response = client.answer_query(request)

    # Handle the response
    print(response)

    return response

Specify a custom preamble

The following command shows how to set a preamble for the generated answer. A preamble contains natural language instructions for customizing the answer. You can request customizations such as length, level of detail, style of output (such as "simple"), language of output, focus of answer, and format (such as tables, bullets, and XML). For example, a preamble might be "Explain like you are a ten years old kid."

The preamble can have a significant effect on the quality of the generated answer. For information about what to write in preambles and examples of good preambles, see About custom preambles.

REST

To generate an answer using a model different from the default model, do the following:

  1. Run the following curl command:

    curl -X POST -H "Authorization: Bearer $(gcloud auth print-access-token)" \
      -H "Content-Type: application/json" \
      "https://discoveryengine.googleapis.com/v1/projects/PROJECT_ID/locations/global/collections/default_collection/engines/APP_ID/servingConfigs/default_search:answer" \
      -d '{
            "query": { "text": "QUERY"},
            "answerGenerationSpec": {
               "promptSpec": {
                   "preamble": "PREAMBLE",
               }
            }
          }'
    

    Replace the following:

    • PROJECT_ID: the ID of your project.
    • APP_ID: the ID of the app that you want to query.
    • QUERY: a free-text string that contains the question or search query.
    • PREAMBLE: a natural-language instruction for customizing the answer. For example, try show the answer format in an ordered list or give a very detailed answer.

Python

Before trying this sample, follow the Python setup instructions in the Gemini Enterprise quickstart using client libraries. For more information, see the Gemini Enterprise Python API reference documentation.

To authenticate to Gemini Enterprise, set up Application Default Credentials. For more information, see Set up authentication for a local development environment.

from google.api_core.client_options import ClientOptions
from google.cloud import discoveryengine_v1 as discoveryengine

# TODO(developer): Uncomment these variables before running the sample.
# project_id = "YOUR_PROJECT_ID"
# location = "YOUR_LOCATION"                    # Values: "global", "us", "eu"
# engine_id = "YOUR_APP_ID"


def answer_query_sample(
    project_id: str,
    location: str,
    engine_id: str,
) -> discoveryengine.AnswerQueryResponse:
    #  For more information, refer to:
    # https://cloud.google.com/generative-ai-app-builder/docs/locations#specify_a_multi-region_for_your_data_store
    client_options = (
        ClientOptions(api_endpoint=f"{location}-discoveryengine.googleapis.com")
        if location != "global"
        else None
    )

    # Create a client
    client = discoveryengine.ConversationalSearchServiceClient(
        client_options=client_options
    )

    # The full resource name of the Search serving config
    serving_config = f"projects/{project_id}/locations/{location}/collections/default_collection/engines/{engine_id}/servingConfigs/default_serving_config"

    # Optional: Options for query phase
    # The `query_understanding_spec` below includes all available query phase options.
    # For more details, refer to https://cloud.google.com/generative-ai-app-builder/docs/reference/rest/v1/QueryUnderstandingSpec
    query_understanding_spec = discoveryengine.AnswerQueryRequest.QueryUnderstandingSpec(
        query_rephraser_spec=discoveryengine.AnswerQueryRequest.QueryUnderstandingSpec.QueryRephraserSpec(
            disable=False,  # Optional: Disable query rephraser
            max_rephrase_steps=1,  # Optional: Number of rephrase steps
        ),
        # Optional: Classify query types
        query_classification_spec=discoveryengine.AnswerQueryRequest.QueryUnderstandingSpec.QueryClassificationSpec(
            types=[
                discoveryengine.AnswerQueryRequest.QueryUnderstandingSpec.QueryClassificationSpec.Type.ADVERSARIAL_QUERY,
                discoveryengine.AnswerQueryRequest.QueryUnderstandingSpec.QueryClassificationSpec.Type.NON_ANSWER_SEEKING_QUERY,
            ]  # Options: ADVERSARIAL_QUERY, NON_ANSWER_SEEKING_QUERY or both
        ),
    )

    # Optional: Options for answer phase
    # The `answer_generation_spec` below includes all available query phase options.
    # For more details, refer to https://cloud.google.com/generative-ai-app-builder/docs/reference/rest/v1/AnswerGenerationSpec
    answer_generation_spec = discoveryengine.AnswerQueryRequest.AnswerGenerationSpec(
        ignore_adversarial_query=False,  # Optional: Ignore adversarial query
        ignore_non_answer_seeking_query=False,  # Optional: Ignore non-answer seeking query
        ignore_low_relevant_content=False,  # Optional: Return fallback answer when content is not relevant
        model_spec=discoveryengine.AnswerQueryRequest.AnswerGenerationSpec.ModelSpec(
            model_version="gemini-2.0-flash-001/answer_gen/v1",  # Optional: Model to use for answer generation
        ),
        prompt_spec=discoveryengine.AnswerQueryRequest.AnswerGenerationSpec.PromptSpec(
            preamble="Give a detailed answer.",  # Optional: Natural language instructions for customizing the answer.
        ),
        include_citations=True,  # Optional: Include citations in the response
        answer_language_code="en",  # Optional: Language code of the answer
    )

    # Initialize request argument(s)
    request = discoveryengine.AnswerQueryRequest(
        serving_config=serving_config,
        query=discoveryengine.Query(text="What is Vertex AI Search?"),
        session=None,  # Optional: include previous session ID to continue a conversation
        query_understanding_spec=query_understanding_spec,
        answer_generation_spec=answer_generation_spec,
        user_pseudo_id="user-pseudo-id",  # Optional: Add user pseudo-identifier for queries.
    )

    # Make the request
    response = client.answer_query(request)

    # Handle the response
    print(response)

    return response

Include citations

The following command shows how to request citations to be included with the answer.

REST

To generate an answer using a model different from the default model, do the following:

  1. Run the following curl command:

    curl -X POST -H "Authorization: Bearer $(gcloud auth print-access-token)" \
      -H "Content-Type: application/json" \
      "https://discoveryengine.googleapis.com/v1/projects/PROJECT_ID/locations/global/collections/default_collection/engines/APP_ID/servingConfigs/default_search:answer" \
      -d '{
            "query": { "text": "QUERY"},
            "answerGenerationSpec": {
               "includeCitations": INCLUDE_CITATIONS
            }
          }'
    

    Replace the following:

    • PROJECT_ID: the ID of your project.
    • APP_ID: the ID of the app that you want to query.
    • QUERY: a free-text string that contains the question or search query.
    • INCLUDE_CITATIONS: specifies whether to include citation metadata in the answer. The default value is false.

Python

Before trying this sample, follow the Python setup instructions in the Gemini Enterprise quickstart using client libraries. For more information, see the Gemini Enterprise Python API reference documentation.

To authenticate to Gemini Enterprise, set up Application Default Credentials. For more information, see Set up authentication for a local development environment.

from google.api_core.client_options import ClientOptions
from google.cloud import discoveryengine_v1 as discoveryengine

# TODO(developer): Uncomment these variables before running the sample.
# project_id = "YOUR_PROJECT_ID"
# location = "YOUR_LOCATION"                    # Values: "global", "us", "eu"
# engine_id = "YOUR_APP_ID"


def answer_query_sample(
    project_id: str,
    location: str,
    engine_id: str,
) -> discoveryengine.AnswerQueryResponse:
    #  For more information, refer to:
    # https://cloud.google.com/generative-ai-app-builder/docs/locations#specify_a_multi-region_for_your_data_store
    client_options = (
        ClientOptions(api_endpoint=f"{location}-discoveryengine.googleapis.com")
        if location != "global"
        else None
    )

    # Create a client
    client = discoveryengine.ConversationalSearchServiceClient(
        client_options=client_options
    )

    # The full resource name of the Search serving config
    serving_config = f"projects/{project_id}/locations/{location}/collections/default_collection/engines/{engine_id}/servingConfigs/default_serving_config"

    # Optional: Options for query phase
    # The `query_understanding_spec` below includes all available query phase options.
    # For more details, refer to https://cloud.google.com/generative-ai-app-builder/docs/reference/rest/v1/QueryUnderstandingSpec
    query_understanding_spec = discoveryengine.AnswerQueryRequest.QueryUnderstandingSpec(
        query_rephraser_spec=discoveryengine.AnswerQueryRequest.QueryUnderstandingSpec.QueryRephraserSpec(
            disable=False,  # Optional: Disable query rephraser
            max_rephrase_steps=1,  # Optional: Number of rephrase steps
        ),
        # Optional: Classify query types
        query_classification_spec=discoveryengine.AnswerQueryRequest.QueryUnderstandingSpec.QueryClassificationSpec(
            types=[
                discoveryengine.AnswerQueryRequest.QueryUnderstandingSpec.QueryClassificationSpec.Type.ADVERSARIAL_QUERY,
                discoveryengine.AnswerQueryRequest.QueryUnderstandingSpec.QueryClassificationSpec.Type.NON_ANSWER_SEEKING_QUERY,
            ]  # Options: ADVERSARIAL_QUERY, NON_ANSWER_SEEKING_QUERY or both
        ),
    )

    # Optional: Options for answer phase
    # The `answer_generation_spec` below includes all available query phase options.
    # For more details, refer to https://cloud.google.com/generative-ai-app-builder/docs/reference/rest/v1/AnswerGenerationSpec
    answer_generation_spec = discoveryengine.AnswerQueryRequest.AnswerGenerationSpec(
        ignore_adversarial_query=False,  # Optional: Ignore adversarial query
        ignore_non_answer_seeking_query=False,  # Optional: Ignore non-answer seeking query
        ignore_low_relevant_content=False,  # Optional: Return fallback answer when content is not relevant
        model_spec=discoveryengine.AnswerQueryRequest.AnswerGenerationSpec.ModelSpec(
            model_version="gemini-2.0-flash-001/answer_gen/v1",  # Optional: Model to use for answer generation
        ),
        prompt_spec=discoveryengine.AnswerQueryRequest.AnswerGenerationSpec.PromptSpec(
            preamble="Give a detailed answer.",  # Optional: Natural language instructions for customizing the answer.
        ),
        include_citations=True,  # Optional: Include citations in the response
        answer_language_code="en",  # Optional: Language code of the answer
    )

    # Initialize request argument(s)
    request = discoveryengine.AnswerQueryRequest(
        serving_config=serving_config,
        query=discoveryengine.Query(text="What is Vertex AI Search?"),
        session=None,  # Optional: include previous session ID to continue a conversation
        query_understanding_spec=query_understanding_spec,
        answer_generation_spec=answer_generation_spec,
        user_pseudo_id="user-pseudo-id",  # Optional: Add user pseudo-identifier for queries.
    )

    # Make the request
    response = client.answer_query(request)

    # Handle the response
    print(response)

    return response

Set the answer language code

The following command shows how to set the language code for answers.

REST

To generate an answer using a model different from the default model, do the following:

  1. Run the following curl command:

    curl -X POST -H "Authorization: Bearer $(gcloud auth print-access-token)" \
      -H "Content-Type: application/json" \
      "https://discoveryengine.googleapis.com/v1/projects/PROJECT_ID/locations/global/collections/default_collection/engines/APP_ID/servingConfigs/default_search:answer" \
      -d '{
            "query": { "text": "QUERY"},
            "answerGenerationSpec": {
               "answerLanguageCode": "ANSWER_LANGUAGE_CODE"
               }
          }'
    

    Replace the following:

    • PROJECT_ID: the ID of your project.
    • APP_ID: the ID of the app that you want to query.
    • QUERY: a free-text string that contains the question or search query.
    • ANSWER_LANGUAGE_CODE: a language code for the answer. Use language tags defined by BCP47: Tags for Identifying Languages.

Python

Before trying this sample, follow the Python setup instructions in the Gemini Enterprise quickstart using client libraries. For more information, see the Gemini Enterprise Python API reference documentation.

To authenticate to Gemini Enterprise, set up Application Default Credentials. For more information, see Set up authentication for a local development environment.

from google.api_core.client_options import ClientOptions
from google.cloud import discoveryengine_v1 as discoveryengine

# TODO(developer): Uncomment these variables before running the sample.
# project_id = "YOUR_PROJECT_ID"
# location = "YOUR_LOCATION"                    # Values: "global", "us", "eu"
# engine_id = "YOUR_APP_ID"


def answer_query_sample(
    project_id: str,
    location: str,
    engine_id: str,
) -> discoveryengine.AnswerQueryResponse:
    #  For more information, refer to:
    # https://cloud.google.com/generative-ai-app-builder/docs/locations#specify_a_multi-region_for_your_data_store
    client_options = (
        ClientOptions(api_endpoint=f"{location}-discoveryengine.googleapis.com")
        if location != "global"
        else None
    )

    # Create a client
    client = discoveryengine.ConversationalSearchServiceClient(
        client_options=client_options
    )

    # The full resource name of the Search serving config
    serving_config = f"projects/{project_id}/locations/{location}/collections/default_collection/engines/{engine_id}/servingConfigs/default_serving_config"

    # Optional: Options for query phase
    # The `query_understanding_spec` below includes all available query phase options.
    # For more details, refer to https://cloud.google.com/generative-ai-app-builder/docs/reference/rest/v1/QueryUnderstandingSpec
    query_understanding_spec = discoveryengine.AnswerQueryRequest.QueryUnderstandingSpec(
        query_rephraser_spec=discoveryengine.AnswerQueryRequest.QueryUnderstandingSpec.QueryRephraserSpec(
            disable=False,  # Optional: Disable query rephraser
            max_rephrase_steps=1,  # Optional: Number of rephrase steps
        ),
        # Optional: Classify query types
        query_classification_spec=discoveryengine.AnswerQueryRequest.QueryUnderstandingSpec.QueryClassificationSpec(
            types=[
                discoveryengine.AnswerQueryRequest.QueryUnderstandingSpec.QueryClassificationSpec.Type.ADVERSARIAL_QUERY,
                discoveryengine.AnswerQueryRequest.QueryUnderstandingSpec.QueryClassificationSpec.Type.NON_ANSWER_SEEKING_QUERY,
            ]  # Options: ADVERSARIAL_QUERY, NON_ANSWER_SEEKING_QUERY or both
        ),
    )

    # Optional: Options for answer phase
    # The `answer_generation_spec` below includes all available query phase options.
    # For more details, refer to https://cloud.google.com/generative-ai-app-builder/docs/reference/rest/v1/AnswerGenerationSpec
    answer_generation_spec = discoveryengine.AnswerQueryRequest.AnswerGenerationSpec(
        ignore_adversarial_query=False,  # Optional: Ignore adversarial query
        ignore_non_answer_seeking_query=False,  # Optional: Ignore non-answer seeking query
        ignore_low_relevant_content=False,  # Optional: Return fallback answer when content is not relevant
        model_spec=discoveryengine.AnswerQueryRequest.AnswerGenerationSpec.ModelSpec(
            model_version="gemini-2.0-flash-001/answer_gen/v1",  # Optional: Model to use for answer generation
        ),
        prompt_spec=discoveryengine.AnswerQueryRequest.AnswerGenerationSpec.PromptSpec(
            preamble="Give a detailed answer.",  # Optional: Natural language instructions for customizing the answer.
        ),
        include_citations=True,  # Optional: Include citations in the response
        answer_language_code="en",  # Optional: Language code of the answer
    )

    # Initialize request argument(s)
    request = discoveryengine.AnswerQueryRequest(
        serving_config=serving_config,
        query=discoveryengine.Query(text="What is Vertex AI Search?"),
        session=None,  # Optional: include previous session ID to continue a conversation
        query_understanding_spec=query_understanding_spec,
        answer_generation_spec=answer_generation_spec,
        user_pseudo_id="user-pseudo-id",  # Optional: Add user pseudo-identifier for queries.
    )

    # Make the request
    response = client.answer_query(request)

    # Handle the response
    print(response)

    return response

Personalize answers

If there is specific information about the user available—for example, data in a profile, you can specify that information in the endUserMetadata object so that the query results can be personalized for the user.

For example, if a user is searching for information about upgrading a mobile phone, information from their profile, such as current phone model and cellular plan provides information that can personalize the generated answer.

To add personal information about the user making a query and to generate an answer that takes into account the personal information, do the following:

  1. Run the following curl command:

    curl -X POST -H "Authorization: Bearer $(gcloud auth print-access-token)" \
      -H "Content-Type: application/json" \
      "https://discoveryengine.googleapis.com/v1/projects/PROJECT_ID/locations/global/collections/default_collection/engines/APP_ID/servingConfigs/default_search:answer" \
    -d '{
        "query": { "text": "QUERY"},
        "endUserSpec": {
           "endUserMetadata": [
             {
               "chunkInfo": {
                  "content": "PERSONALIZED_INFO",
                  "documentMetadata":  { "title": "INFO_DESCRIPTION"}
               }
             }
           ]
        }
      }'
    

    Replace the following:

    • PROJECT_ID: the ID of your project.
    • APP_ID: the ID of the app that you want to query.
    • QUERY: a free-text string that contains the question or search query.
    • PERSONALIZATION_INFO: a string that contains information specific to the user who is making the query. For example, This customer has a Pixel 6 Pro purchased over a period of 24-months starting 2023-01-15. This customer is on the Business Plus International plan. No payment is due at this time. The length limit for this string is 8,000 characters.
    • INFO_DESCRIPTION: a string that briefly describes the personalization information—for example, Customer profile data, including model, plan, and billing status. The model makes use of both this description and the personalization information when generating a customized answer to the query.

Generate charts for answers

The answer method can generate charts and return them as part of the answer to a query.

You can specifically request that an answer include a chart, for example, "Plot the year-on-year growth rate of small business payments over years with available data". If the system determines that sufficient data is present, a chart is returned. Usually, some answer text is returned along with the chart.

Also, if there is sufficient data to create a chart, the answer method can return a chart even if the query didn't explicitly request a chart. For example, "What was the improvement in HDI scores associated with more access to clean drinking water in the decade between 2010 and 2020?"

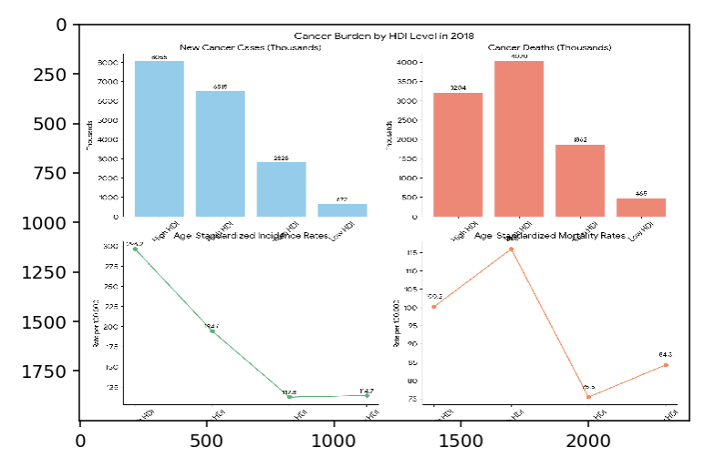
Only one chart is generated per answer. However, the chart might be a composite chart, containing other smaller charts. An example of a composite chart:

composite chart contains four smaller charts

Limitation

Queries must be in English.

Common failure scenarios

You won't always get an image returned with your answer. If there isn't sufficient data, a figure can't be generated.

Other failure scenarios include code execution failures and timeouts. If either of these happen, rephrase your query and try again.

Before you begin

Before you run a query that asks for generated charts, do the following:

  • Make sure that you are using a Gemini 2.0 or later model. For information about the models, see Answer generation model versions and lifecycle.

  • If you have an unstructured data store that includes documents with lots of tables and images, turn on the Layout parser. Although this isn't strictly necessary, it gives better quality results.

Procedure

REST

Call the answer method as follows to return an answer that can include a chart generated from the data in the data store:

  1. Run the following curl command:

    curl -X POST -H "Authorization: Bearer $(gcloud auth print-access-token)" \
      -H "Content-Type: application/json" \
      "https://discoveryengine.googleapis.com/v1beta/projects/PROJECT_ID/locations/global/collections/default_collection/engines/APP_ID/servingConfigs/default_search:answer" \
      -d '{
            "query": { "text": "QUERY"},
            "answerGenerationSpec": {
              "model_spec": {
                 "model_version": "MODEL_VERSION"
             },
              "multimodalSpec": {
                 "imageSource": "IMAGE_SOURCE"
                 }
            }
          }'
    

    Replace the following:

    • PROJECT_ID: the ID of your project.
    • APP_ID: the ID of the app that you want to query.
    • QUERY: a free-text string in English that contains the question or search query.
    • MODEL_VERSION: Model version gemini-2.0-flash-001/answer_gen/v1 or later. For more information, see Answer generation model versions and lifecycle.
    • IMAGE_SOURCE: an enumeration to request that the answer include a generated chart, FIGURE_GENERATION_ONLY, or that the answer can include either a generated chart or an existing image from the data stores, ALL_AVAILABLE_SOURCES.

Retrieve existing images from the data store

You can choose to have images from the data store returned with the answer and in citation references. The data store must be an unstructured data store with the layout parser turned on.

When imageSource is CORPUS_IMAGE_ONLY or ALL_AVAILABLE_SOURCES, then the answer method can retrieve images from the data store as appropriate. However, turning this on doesn't mean that images are always returned.

You get one image (maximum) per answer. Citations can contain multiple images.

Limitations

  • The app that you're using must be connected to an unstructured data store. Images can't be returned from websites or from structured data stores.

  • Queries must be in English.

  • Image annotation through the layout parser must be applied to the data store. For information about the layout parser, see Parse and chunk documents.

Procedure

REST

Call the answer method as follows to return an answer that can include an image from the data store in the answer:

  1. Run the following curl command:

    curl -X POST -H "Authorization: Bearer $(gcloud auth print-access-token)" \
      -H "Content-Type: application/json" \
      "https://discoveryengine.googleapis.com/v1beta/projects/PROJECT_ID/locations/global/collections/default_collection/engines/APP_ID/servingConfigs/default_search:answer" \
      -d '{
            "query": { "text": "QUERY"},
            "answerGenerationSpec": {
              "model_spec": {
                 "model_version": "MODEL_VERSION"
              },
              includeCitations: true,
              "multimodalSpec": {
                 "imageSource": "IMAGE_SOURCE"
                 }
            }
          }'
    

    Replace the following:

    • PROJECT_ID: the ID of your project.
    • APP_ID: the ID of the app that you want to query.
    • QUERY: a free-text string in English that contains the question or search query.
    • MODEL_VERSION: Model version gemini-2.0-flash-001/answer_gen/v1 or later. For more information, see Answer generation model versions and lifecycle.
    • IMAGE_SOURCE: an enumeration to request that the answer include an image from the data store, CORPUS_IMAGE_ONLY, or that the answer can include either an image from the data store or a generated chart, ALL_AVAILABLE_SOURCES.

Commands for follow-up questions

Follow-ups are multi-turn queries. After the first query in a follow-up session, subsequent "turns" take into account prior interactions. With follow-ups, the answer method can also suggest related questions, which your users can choose instead of entering their own follow-up questions.

All the answer and follow-ups features described in the preceding sections, such as citations, filters, SafeSearch, ignoring certain types of queries, and using a preamble to customize answers can be applied along with follow-ups.

Example of a follow-up session

The following is an example of a session with follow-ups. Suppose that you want to know about vacationing in Mexico:

  • Turn 1:

    • You: When is the best time of the year to vacation in Mexico?

    • Answer with follow-ups: The best time to vacation in Mexico is during the dry season, which runs from November to April.

  • Turn 2:

    • You: What is the exchange rate?

    • Answer with follow-ups: 1 USD is equal to approximately 17.65 Mexican pesos.

  • Turn 3:

    • You: What's the average temperature in December?

    • Answer with follow-ups: The average temperature varies from 70-78°F. Cancun's average is ~ 77°F.

Without follow-ups, your question "What is the exchange rate?" wouldn't be answerable because regular search wouldn't know that you wanted the Mexican exchange rate. Similarly, without follow-ups, there wouldn't be the context needed to give you temperatures specifially for Mexico.

When you ask "What is the best time of the year to vacation in Mexico?", in addition to answering your question, answer and follow-ups can suggest other questions that you might ask, such as "What is the cheapest month to vacation in Mexico?" and "What are the tourist months in Mexico?".

After the related questions feature is enabled, questions are returned as strings in the response.

About sessions

To understand how follow-ups work in Gemini Enterprise, you need to understand about sessions.

A session is made up of text queries provided by a user and responses provided by Gemini Enterprise.

These query and response pairs are sometimes referred to as turns. In the preceding example, the second turn is made up of "What is the exchange rate?" and "1 USD is equal to approximately 17.65 Mexican pesos."

Sessions are stored with the app. In the app, a session is represented by the session resource.

In addition to containing the query and response messages, the session resource has:

  • A unique name (the session ID).

  • A state (in-progress or completed).

  • A user pseudo ID, which is a visitor ID that tracks the user. It can be assigned programmatically.

  • A start time and an end time.

  • A turn, which is a query answer pair.

Store session information and get responses

You can use the command line to generate search responses and answers and to store these, along with each query in a session.

REST

To use the command line to create a session and generate responses from the user's input, follow these steps:

  1. Specify the app where you want to store the session:

    curl -X POST \
      -H "Authorization: Bearer $(gcloud auth print-access-token)" \
      -H "Content-Type: application/json" \
      "https://discoveryengine.googleapis.com/v1/projects/PROJECT_ID/locations/global/collections/default_collection/engines/APP_ID/sessions" \
      -d '{
            "userPseudoId": "USER_PSEUDO_ID"
          }'
    

    Replace the following:

    • PROJECT_ID: the ID of your project.

    • APP_ID: the ID of the app.

    • USER_PSEUDO_ID: this is a unique identifier for tracking a search visitor. For example, you can implement this with an HTTP cookie, which uniquely identifies a visitor on a single device.

    Example command and result

    curl -X POST -H "Authorization: Bearer $(gcloud auth print-access-token)"
    -H "Content-Type: application/json"
    "https://discoveryengine.googleapis.com/v1/projects/my-project-123/locations/global/collections/default_collection/engines/my-app/sessions"
    -d '{
    "userPseudoId": "test_user"
    }'
    
    { "name": "projects/123456/locations/global/collections/default_collection/engines/my-app/sessions/16002628354770206943", "state": "IN_PROGRESS", "userPseudoId": "test_user", "startTime": "2024-09-13T18:47:10.465311Z", "endTime": "2024-09-13T18:47:10.465311Z" }
  2. Note down the session ID, the numbers at the end of the name: field in the JSON response. In the example result, the ID is 5386462384953257772. You need this ID in the next step.

  3. Generate an answer and add it to a session in your app:

    curl -X POST \
      -H "Authorization: Bearer $(gcloud auth print-access-token)" \
      -H "Content-Type: application/json" \
      "https://discoveryengine.googleapis.com/v1/projects/PROJECT_ID/locations/global/collections/default_collection/engines/APP_ID/servingConfigs/default_search:answer" \
      -d '{
            "query": { "text": "QUERY"},
            "session": "projects/PROJECT_ID/locations/global/collections/default_collection/engines/APP_ID/sessions/SESSION_ID",
              "searchSpec":{ "searchParams": {"filter": "FILTER"} }
    }'
    

    Replace the following:

    • PROJECT_ID: the ID of your project.
    • APP_ID: the ID of the app.
    • QUERY: a free-text string that contains the question or search query.
    • SESSION_ID: the ID for the session that you created in step 1. These are the digits at the end of the name: field, noted step 2. For a session, use the same session ID in every turn.
    • FILTER: a text field for filtering search using a filter expression. The default value is an empty string. The way you construct your filter varies depending on whether you have unstructured data with metadata, structured data, or website data. For more information, see Filter custom search for structured or unstructured data.

    Example command and result

    curl -X POST -H "Authorization: Bearer $(gcloud auth print-access-token)"
    -H "Content-Type: application/json"
    "https://discoveryengine.googleapis.com/v1/projects/my-project-123/locations/global/collections/default_collection/engines/my-app/servingConfigs/default_search:answer"
    -d '{
    "query": { "text": "Compare bigquery with spanner database?"},
    "session":  "projects/123456/locations/global/collections/default_collection/engines/my-app/sessions/16002628354770206943",
    }'
        
    { "answer": { "name": "projects/123456/locations/global/collections/default_collection/engines/my-app/sessions/16002628354770206943/answers/4861507376861383072", "state": "SUCCEEDED", "answerText": "BigQuery and Spanner are both powerful tools that can be used together to handle transactional and analytical workloads. Spanner is a fully managed relational database optimized for transactional workloads, while BigQuery is a serverless data warehouse designed for business agility. Spanner provides seamless replication across regions in Google Cloud and processes over 1 billion requests per second at peak. BigQuery analyzes over 110 terabytes of data per second. Users can leverage federated queries to read data from Spanner and write to a native BigQuery table. \n", "steps": [ { "state": "SUCCEEDED", "description": "Rephrase the query and search.", "actions": [ { "searchAction": { "query": "Compare bigquery with spanner database?" }, "observation": { "searchResults": [ { "document": "projects/123456/locations/global/collections/default_collection/dataStores/my-data-store/branches/0/documents/ecc0e7547253f4ca3ff3328ce89995af", "uri": "https://cloud.google.com/blog/topics/developers-practitioners/how-spanner-and-bigquery-work-together-handle-transactional-and-analytical-workloads", "title": "How Spanner and BigQuery work together to handle transactional and analytical workloads | Google Cloud Blog", "snippetInfo": [ { "snippet": "Using Cloud \u003cb\u003eSpanner\u003c/b\u003e and \u003cb\u003eBigQuery\u003c/b\u003e also allows customers to build their \u003cb\u003edata\u003c/b\u003e clouds using Google Cloud, a unified, open approach to \u003cb\u003edata\u003c/b\u003e-driven transformation ...", "snippetStatus": "SUCCESS" } ] }, { "document": "projects/123456/locations/global/collections/default_collection/dataStores/my-data-store/branches/0/documents/d7e238f73608a860e00b752ef80e2941", "uri": "https://cloud.google.com/blog/products/databases/cloud-spanner-gets-stronger-with-bigquery-federated-queries", "title": "Cloud Spanner gets stronger with BigQuery-federated queries | Google Cloud Blog", "snippetInfo": [ { "snippet": "As enterprises compete for market share, their need for real-time insights has given rise to increased demand for transactional \u003cb\u003edatabases\u003c/b\u003e to support \u003cb\u003edata\u003c/b\u003e ...", "snippetStatus": "SUCCESS" } ] }, { "document": "projects/123456/locations/global/collections/default_collection/dataStores/my-data-store/branches/0/documents/e10a5a3c267dc61579e7c00fefe656eb", "uri": "https://cloud.google.com/blog/topics/developers-practitioners/replicating-cloud-spanner-bigquery-scale", "title": "Replicating from Cloud Spanner to BigQuery at scale | Google Cloud Blog", "snippetInfo": [ { "snippet": "... \u003cb\u003eSpanner data\u003c/b\u003e into \u003cb\u003eBigQuery\u003c/b\u003e for analytics. In this post, you will learn how to efficiently use this feature to replicate large tables with high throughput ...", "snippetStatus": "SUCCESS" } ] }, ... { "document": "projects/123456/locations/global/collections/default_collection/dataStores/my-data-store/branches/0/documents/8100ad36e1cac149eb9fc180a41d8f25", "uri": "https://cloud.google.com/blog/products/gcp/from-nosql-to-new-sql-how-spanner-became-a-global-mission-critical-database", "title": "How Spanner became a global, mission-critical database | Google Cloud Blog", "snippetInfo": [ { "snippet": "... SQL \u003cb\u003evs\u003c/b\u003e. NoSQL dichotomy may no longer be relevant." The \u003cb\u003eSpanner\u003c/b\u003e SQL query processor, while recognizable as a standard implementation, has unique ...", "snippetStatus": "SUCCESS" } ] } ] } } ] } ] }, "session": { "name": "projects/123456/locations/global/collections/default_collection/engines/my-app/sessions/16002628354770206943", "state": "IN_PROGRESS", "userPseudoId": "test_user", "turns": [ { "query": { "queryId": "projects/123456/locations/global/questions/741830", "text": "Compare bigquery with spanner database?" }, "answer": "projects/123456/locations/global/collections/default_collection/engines/my-app/sessions/16002628354770206943/answers/4861507376861383072" } ], "startTime": "2024-09-13T18:47:10.465311Z", "endTime": "2024-09-13T18:47:10.465311Z" }, "answerQueryToken": "NMwKDAjFkpK3BhDU24uZAhIkNjZlNDIyZWYtMDAwMC0yMjVmLWIxMmQtZjQwMzA0M2FkYmNj" }
  4. Repeat step 3 for each new query in the session.

Python

Before trying this sample, follow the Python setup instructions in the Gemini Enterprise quickstart using client libraries. For more information, see the Gemini Enterprise Python API reference documentation.

To authenticate to Gemini Enterprise, set up Application Default Credentials. For more information, see Set up authentication for a local development environment.

from google.cloud import discoveryengine_v1 as discoveryengine


def create_session(
    project_id: str,
    location: str,
    engine_id: str,
    user_pseudo_id: str,
) -> discoveryengine.Session:
    """Creates a session.

    Args:
        project_id: The ID of your Google Cloud project.
        location: The location of the app.
        engine_id: The ID of the app.
        user_pseudo_id: A unique identifier for tracking visitors. For example, this
          could be implemented with an HTTP cookie, which should be able to
          uniquely identify a visitor on a single device.
    Returns:
        discoveryengine.Session: The newly created Session.
    """

    client = discoveryengine.SessionServiceClient()

    session = client.create_session(
        # The full resource name of the engine
        parent=f"projects/{project_id}/locations/{location}/collections/default_collection/engines/{engine_id}",
        session=discoveryengine.Session(user_pseudo_id=user_pseudo_id),
    )

    # Send Session name in `answer_query()`
    print(f"Session: {session.name}")
    return session

Get a session from the data store

The following command shows how to call the get method and get a session from the data store.

REST

To get a session from a data store, do the following:

  1. Run the following curl command:

    curl -X GET -H "Authorization: Bearer $(gcloud auth print-access-token)" \
      -H "Content-Type: application/json" \
      "https://discoveryengine.googleapis.com/v1/projects/PROJECT_ID/locations/global/collections/default_collection/engines/APP_ID/sessions/SESSION_ID"
    

    Replace the following:

    • PROJECT_ID: the ID of your project.
    • APP_ID: the ID of the app.
    • SESSION_ID: the ID of the session that you want to get.

Python

Before trying this sample, follow the Python setup instructions in the Gemini Enterprise quickstart using client libraries. For more information, see the Gemini Enterprise Python API reference documentation.

To authenticate to Gemini Enterprise, set up Application Default Credentials. For more information, see Set up authentication for a local development environment.

from google.cloud import discoveryengine_v1 as discoveryengine


def get_session(
    project_id: str,
    location: str,
    engine_id: str,
    session_id: str,
) -> discoveryengine.Session:
    """Retrieves a session.

    Args:
        project_id: The ID of your Google Cloud project.
        location: The location of the app.
        engine_id: The ID of the app.
        session_id: The ID of the session.
    """

    client = discoveryengine.SessionServiceClient()

    # The full resource name of the session
    name = f"projects/{project_id}/locations/{location}/collections/default_collection/engines/{engine_id}/sessions/{session_id}"

    session = client.get_session(name=name)

    print(f"Session details: {session}")
    return session

Delete a session from the app

The following command shows how to call the delete method and delete a session from the data store.

By default, sessions older than 60 days are automatically deleted. However, if you want to delete a particular session—for example, if it contains sensitive content, then use this API call to delete it.

REST

To delete a session from an app, do the following:

  1. Run the following curl command:

    curl -X DELETE -H "Authorization: Bearer $(gcloud auth print-access-token)" \
      -H "Content-Type: application/json" \
      "https://discoveryengine.googleapis.com/v1/projects/PROJECT_ID/locations/global/collections/default_collection/engines/APP_ID/sessions/SESSION_ID"
    

    Replace the following:

    • PROJECT_ID: the ID of your project.
    • APP_ID: the ID of the app.
    • SESSION_ID: the ID of the session that you want to delete.

Python

Before trying this sample, follow the Python setup instructions in the Gemini Enterprise quickstart using client libraries. For more information, see the Gemini Enterprise Python API reference documentation.

To authenticate to Gemini Enterprise, set up Application Default Credentials. For more information, see Set up authentication for a local development environment.

from google.cloud import discoveryengine_v1 as discoveryengine


def delete_session(
    project_id: str,
    location: str,
    engine_id: str,
    session_id: str,
) -> None:
    """Deletes a session.

    Args:
        project_id: The ID of your Google Cloud project.
        location: The location of the app.
        engine_id: The ID of the app.
        session_id: The ID of the session.
    """

    client = discoveryengine.SessionServiceClient()

    # The full resource name of the session
    name = f"projects/{project_id}/locations/{location}/collections/default_collection/engines/{engine_id}/sessions/{session_id}"

    client.delete_session(name=name)

    print(f"Session {name} deleted.")

Update a session

There are various reasons that you might want to update a session. For example, to do one of the following:

  • Mark a session as completed
  • Merge the messages from one session into another
  • Change a user's pseudo ID

The following command shows how to call the patch method and update a session in the data store.

REST

To update a session from an app, do the following:

  1. Run the following curl command:

    curl -X PATCH \
      -H "Authorization: Bearer $(gcloud auth print-access-token)" \
      -H "Content-Type: application/json" \
      "https://discoveryengine.googleapis.com/v1/projects/PROJECT_ID/locations/global/collections/default_collection/engines/APP_ID/sessions/SESSION_ID?updateMask=state" \
      -d '{
            "state": "NEW_STATE"
          }'
    

    Replace the following:

    • PROJECT_ID: the ID of your project.
    • APP_ID: the ID of the app.
    • SESSION_ID: the ID of the session that you want to update.
    • NEW_STATE: the new value for the state—for example, IN_PROGRESS.

Python

Before trying this sample, follow the Python setup instructions in the Gemini Enterprise quickstart using client libraries. For more information, see the Gemini Enterprise Python API reference documentation.

To authenticate to Gemini Enterprise, set up Application Default Credentials. For more information, see Set up authentication for a local development environment.

from google.cloud import discoveryengine_v1 as discoveryengine
from google.protobuf import field_mask_pb2


def update_session(
    project_id: str,
    location: str,
    engine_id: str,
    session_id: str,
) -> discoveryengine.Session:
    """Updates a session.

    Args:
        project_id: The ID of your Google Cloud project.
        location: The location of the app.
        engine_id: The ID of the app.
        session_id: The ID of the session.
    Returns:
        discoveryengine.Session: The updated Session.
    """
    client = discoveryengine.SessionServiceClient()

    # The full resource name of the session
    name = f"projects/{project_id}/locations/{location}/collections/default_collection/engines/{engine_id}/sessions/{session_id}"

    session = discoveryengine.Session(
        name=name,
        state=discoveryengine.Session.State.IN_PROGRESS,  # Options: IN_PROGRESS, STATE_UNSPECIFIED
    )

    # Fields to Update
    update_mask = field_mask_pb2.FieldMask(paths=["state"])

    session = client.update_session(session=session, update_mask=update_mask)
    print(f"Updated session: {session.name}")
    return session

List all sessions

The following command shows how to call the list method and list the sessions in the data store.

REST

To list the sessions for an app, do the following:

  1. Run the following curl command:

    curl -X GET \
      -H "Authorization: Bearer $(gcloud auth print-access-token)" \
      -H "Content-Type: application/json" \
      "https://discoveryengine.googleapis.com/v1/projects/PROJECT_ID/locations/global/collections/default_collection/engines/APP_ID/sessions"
    

    Replace the following:

    • PROJECT_ID: the ID of your project.
    • APP_ID: the ID of the app.

Python

Before trying this sample, follow the Python setup instructions in the Gemini Enterprise quickstart using client libraries. For more information, see the Gemini Enterprise Python API reference documentation.

To authenticate to Gemini Enterprise, set up Application Default Credentials. For more information, see Set up authentication for a local development environment.

from google.cloud import discoveryengine_v1 as discoveryengine


def list_sessions(
    project_id: str,
    location: str,
    engine_id: str,
) -> discoveryengine.ListSessionsResponse:
    """Lists all sessions associated with a data store.

    Args:
        project_id: The ID of your Google Cloud project.
        location: The location of the app.
        engine_id: The ID of the app.
    Returns:
        discoveryengine.ListSessionsResponse: The list of sessions.
    """

    client = discoveryengine.SessionServiceClient()

    # The full resource name of the engine
    parent = f"projects/{project_id}/locations/{location}/collections/default_collection/engines/{engine_id}"

    response = client.list_sessions(
        request=discoveryengine.ListSessionsRequest(
            parent=parent,
            filter='state="IN_PROGRESS"',  # Optional: Filter requests by userPseudoId or state
            order_by="update_time",  # Optional: Sort results
        )
    )

    print("Sessions:")
    for session in response.sessions:
        print(session)

    return response

List sessions for a user

The following command shows how to call the list method to list sessions associated with a user or visitor.

REST

To list sessions associated with a user or visitor, do the following:

  1. Run the following curl command:

    curl -X GET \
      -H "Authorization: Bearer $(gcloud auth print-access-token)" \
      -H "Content-Type: application/json" \
      "https://discoveryengine.googleapis.com/v1/projects/PROJECT_ID/locations/global/collections/default_collection/engines/APP_ID/sessions?filter=userPseudoId=USER_PSEUDO_ID"
    

    Replace the following:

    • PROJECT_ID: the ID of your project.
    • APP_ID: the ID of the app.
    • USER_PSEUDO_ID: the pseudo ID of the user whose sessions you want to list.

Python

Before trying this sample, follow the Python setup instructions in the Gemini Enterprise quickstart using client libraries. For more information, see the Gemini Enterprise Python API reference documentation.

To authenticate to Gemini Enterprise, set up Application Default Credentials. For more information, see Set up authentication for a local development environment.

from google.cloud import discoveryengine_v1 as discoveryengine


def list_sessions(
    project_id: str,
    location: str,
    engine_id: str,
) -> discoveryengine.ListSessionsResponse:
    """Lists all sessions associated with a data store.

    Args:
        project_id: The ID of your Google Cloud project.
        location: The location of the app.
        engine_id: The ID of the app.
    Returns:
        discoveryengine.ListSessionsResponse: The list of sessions.
    """

    client = discoveryengine.SessionServiceClient()

    # The full resource name of the engine
    parent = f"projects/{project_id}/locations/{location}/collections/default_collection/engines/{engine_id}"

    response = client.list_sessions(
        request=discoveryengine.ListSessionsRequest(
            parent=parent,
            filter='state="IN_PROGRESS"',  # Optional: Filter requests by userPseudoId or state
            order_by="update_time",  # Optional: Sort results
        )
    )

    print("Sessions:")
    for session in response.sessions:
        print(session)

    return response

List sessions for a user and state

The following command shows how to call the list method to list sessions in a given state for a particular user.

REST

To list sessions for a user that are open or closed and associated with a given user or visitor, do the following:

  1. Run the following curl command:

    curl -X GET -H "Authorization: Bearer $(gcloud auth print-access-token)" \
      -H "Content-Type: application/json" \
      "https://discoveryengine.googleapis.com/v1/projects/PROJECT_ID/locations/global/collections/default_collection/engines/APP_ID/sessions?filter=userPseudoId=USER_PSEUDO_ID%20AND%20state=STATE"
    

    Replace the following:

    • PROJECT_ID: the ID of your project.
    • APP_ID: the ID of the app.
    • USER_PSEUDO_ID: the pseudo ID of the user whose sessions you want to list.
    • STATE: the state of the session: STATE_UNSPECIFIED (closed or unknown) or IN_PROGRESS (open).

Python

Before trying this sample, follow the Python setup instructions in the Gemini Enterprise quickstart using client libraries. For more information, see the Gemini Enterprise Python API reference documentation.

To authenticate to Gemini Enterprise, set up Application Default Credentials. For more information, see Set up authentication for a local development environment.

from google.cloud import discoveryengine_v1 as discoveryengine


def list_sessions(
    project_id: str,
    location: str,
    engine_id: str,
) -> discoveryengine.ListSessionsResponse:
    """Lists all sessions associated with a data store.

    Args:
        project_id: The ID of your Google Cloud project.
        location: The location of the app.
        engine_id: The ID of the app.
    Returns:
        discoveryengine.ListSessionsResponse: The list of sessions.
    """

    client = discoveryengine.SessionServiceClient()

    # The full resource name of the engine
    parent = f"projects/{project_id}/locations/{location}/collections/default_collection/engines/{engine_id}"

    response = client.list_sessions(
        request=discoveryengine.ListSessionsRequest(
            parent=parent,
            filter='state="IN_PROGRESS"',  # Optional: Filter requests by userPseudoId or state
            order_by="update_time",  # Optional: Sort results
        )
    )

    print("Sessions:")
    for session in response.sessions:
        print(session)

    return response